Novità importanti per quanto riguarda l’assegno unico per i figli. Gli aumenti scatteranno già da febbraio 2026, mentre dal mese prossimo cambieranno le cifre di riferimento. Come sempre, infatti, da marzo cambiano le cifre (motivo per cui è fondamentale presentare l’ISEE aggiornato entro la fine di febbraio).
Con il pagamento di febbraio 2026 (previsto il 19 e il 20) scatta l’adeguamento, pari all’1,4%, applicato per tenere conto dell’inflazione rilevata dall’Istat, chee comporta non solo un incremento delle somme erogate, ma anche un innalzamento delle soglie ISEE per l’accesso agli scaglioni più favorevoli. Un doppio beneficio quindi per molte famiglie: assegni più alti e maggiori possibilità di rientrare in fasce di reddito migliori.
Assegno Unico 2026: aumento importi e nuove soglie ISEE
Con l’adeguamento all’inflazione, gli importi dell’Assegno Unico 2026 vengono rivalutati dell’1,4%. L’aggiornamento riguarda:
- la quota base per ogni figlio a carico
- le maggiorazioni previste per età e numero di figli
- le soglie ISEE per l’accesso agli scaglioni di calcolo.
L’effetto combinato è particolarmente rilevante: non solo aumenta la cifra mensile riconosciuta, ma cresce anche il limite ISEE per ottenere importi più alti. Alcuni nuclei familiari che prima rientravano in fasce meno vantaggiose potrebbero ora accedere a livelli di assegno superiori.
Pagamenti febbraio e arretrati: quando arrivano
Il calendario dei pagamenti segue due fasi:
- Febbraio 2026: accredito con importi rivalutati
- Marzo 2026: recupero degli arretrati relativi a gennaio.
Questo significa che l’aumento pieno sarà percepito da subito, ma la quota di adeguamento riferita al primo mese dell’anno verrà riconosciuta successivamente.
Scadenza ISEE e DSU 2026: cosa fare entro febbraio
Marzo rappresenta il vero punto di svolta per l’Assegno Unico. Per continuare a ricevere l’importo calcolato sulla reale situazione economica familiare è necessario presentare la nuova DSU (Dichiarazione Sostitutiva Unica) per ottenere l’ISEE aggiornato.
Cosa succede senza ISEE aggiornato
Se la DSU non viene presentata entro la fine di febbraio:
- l’INPS erogherà solo l’importo minimo previsto dalla normativa
- l’assegno non sarà parametrato alla situazione reddituale effettiva.
È prevista però una finestra di recupero. Chi presenterà la DSU entro il 30 giugno 2026 avrà diritto:
- al ricalcolo corretto dell’assegno
- al pagamento di tutti gli arretrati maturati da marzo in poi.
Maggiorazioni Assegno Unico 2026: bonus per nuovi nati e famiglie numerose
Oltre alla rivalutazione generale, restano attive le maggiorazioni specifiche per alcune tipologie di nuclei familiari.
Maggiorazione per nuovi nati
Per ogni figlio nato, adottato o affidato nel 2026 è prevista una maggiorazione del 50% dell’assegno valida per tutto il primo anno di vita.
Maggiorazione per famiglie con almeno tre figli
È confermato l’aumento del 50% anche per:
- nuclei con almeno tre figli
- figli nella fascia di età da 1 a 3 anni
- con ISEE non superiore a 46.582,71 euro.
Bonus famiglie con quattro o più figli
Per i nuclei particolarmente numerosi resta il contributo aggiuntivo:
- 150 euro al mese
- importo forfettario
- per famiglie con almeno quattro figli a carico.
Domanda Assegno Unico 2026: serve rifarla?
Per il 2026 l’INPS ha confermato che non è necessario presentare una nuova domanda se quella già inviata negli anni precedenti risulta accolta e attiva.
L’erogazione prosegue automaticamente. Resta però l’obbligo di comunicare tempestivamente eventuali variazioni, tra cui:
- nascita di un figlio
- cambio di residenza o composizione del nucleo
- raggiungimento della maggiore età
- cessazione delle condizioni di carico.
Come aggiornare l’ISEE: DSU precompilata e app INPS
Per semplificare la procedura di rinnovo ISEE, l’INPS mette a disposizione strumenti digitali rapidi:
- DSU precompilata sul Portale Unico ISEE
- compilazione tramite app INPS Mobile
- acquisizione automatica di molti dati già presenti negli archivi dell’Agenzia delle Entrate.
In questo modo è possibile aggiornare la propria posizione in pochi passaggi ed evitare il rischio di ricevere solo l’importo minimo.
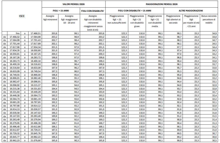
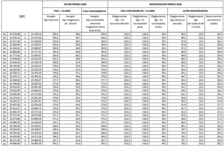
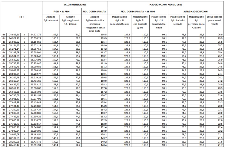
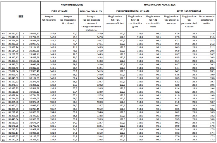
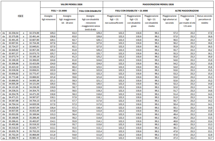
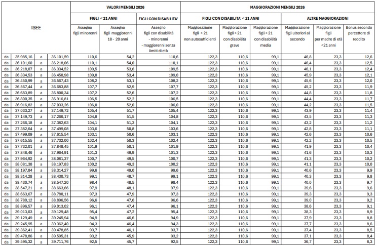
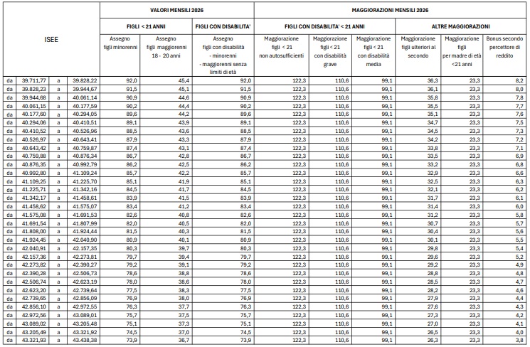
Assegno Unico 2026: i nuovi importi
Di seguito, nelle tabelle allegate alla circolare Inps relativa, pubblichiamo tutti gli importi aggiornati e le maggiorazioni per il 2026.
Clicca qui per scaricare la tabella con gli importi per tutte le fasce di reddito.








Il calendario dei pagamenti del 2026
Di seguito i calendari di pagamento per il 2026.
| Mese di competenza | Date di pagamento AUU 2026 |
|---|---|
| Gennaio | 21 – 22 gennaio |
| Febbraio | 19 – 20 febbraio |
| Marzo | 19 – 20 marzo |
| Aprile | 20 – 21 aprile |
| Maggio | 20 – 21 maggio |
| Giugno | 18 – 19 giugno |
| Luglio | 20 – 21 luglio |
| Agosto | 18 – 19 agosto |
| Settembre | 21 – 22 settembre |
| Ottobre | 21 – 22 ottobre |
| Novembre | 19 – 20 novembre |
| Dicembre | 16 – 17 dicembre |